Частотно-временной анализ сигналов
4. Дискретное вейвлет-преобразование
Представление функции f(t) через ее непрерывное вейвлет – преобразование является избыточным. В задачах обработки информации, встречающихся на практике, сигнал, во-первых, имеет ограниченную полосу и, во-вторых, допускаются те или иные погрешности в получаемых результатах. Поэтому используют дискретное представление непрерывных сигналов, при которых пара
метры преобразования, в данном случае a и b, приобретают дискретные значения. Вейвлет-преобразование, при котором значения a и b дискретны, называют дискретным вейвлет-преобразованием (DWT - Discrete Wavelet Transform).
4.1 Дискретизация масштаба
Рассмотрим сначала случай дискретного масштаба a и положим ![]()
. Это равноценно разбиению частотной оси на поддиапазоны (частотные полосы). Предположим, что
(это можно сделать всегда, умножив функцию ψ на некоторый модуляционный множитель
(см.
). Тогда частотное окно будет равно:
а центральная частота m-го вейвлета:
![]()
.
Базисом для DWT является функция, полученная из
(
)
при
:
.
Если справедливо
и если
достаточно быстро затухает, то любая функция из L2 может быть представлена в виде дискретной по
последовательности
(3.5.2.)
Для восстановления f(t) по дискретным значениям (3.5.2.) на базис
(t) налагаются дополнительные ограничения, а именно, образ Фурье вейвлета
(t) должен удовлетворять соотношению
, (3.5.3)
где константы А и В такие, что
. Условие (3.5.3.) в терминах радиотехники имеет довольно прозрачное толкование. Действительно, так как при каждом значении масштаба
вейвлет представляет собой полосовой фильтр, то набор (сумма) этих фильтров (блок фильтров) является некоторым устройством с неравномерной частотной характеристикой, определяемой константами A и B (рис. 3.12). Сигнал, например звуковой, на выходе такого устройства при сильной неравномерности частотной характеристики претерпевает существенные искажения. Поэтому для его восстановления принимают специальные меры, в частности, устанавливают фильтр, компенсирующий искажения частотной характеристики. В вейвлет-преобразовании таким фильтром является дуальный (или двойственный) вейвлет
, Фурье-образ которого имеет вид:
. (3.5.4.).
Покажем, что с помощью такого вейвлета по коэффициентам DWT полностью восстанавливается сигнал. Действительно, используя соотношение Парсеваля
(
)
и формулу получим (3.5.4.):
Из (3.5.4.) и (3.5.3.) можно показать, что
4.2 Дискретизация масштаба и сдвига. Фреймы
В этом случае полагают дискретными величины a и b, т.е.
Частотное окно для анализа сохраняется прежним. Ширина временного окна
равна
, а среднее значение
изменяется дискретно пропорционально m -ой степени a0 - масштабу вейвлета. Чем уже функция ψ, т.е. меньше величина
, тем меньше (на ту же величину) шаг сдвига этой функции. Базисными функциями для дискретного вейвлет-преобразования будут функции, получаемые из
,при
и
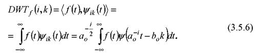
Коэффициенты разложения любой функции из L2 могут быть получены как
Выражение (3.5.6) является дискретным вейвлет-преобразованием функции
. Чтобы обратное преобразование во временную область было справедливым, должно выполняться следующее условие:
для всех
если константы A и B такие, что
В этом случае формула для восстановления функции f(t) по коэффициентам
будет иметь вид
(3.5.8)
где ошибку восстановления R можно оценить как
Разделив все члены неравенства (3.5.7) на
, можно видеть, что константы A и B являются границами нормированной на
энергии – скалярного произведения
. Они (эти константы) как бы "обрамляют" нормированную энергию коэффициентов
Отсюда произошел термин фрейм (frame), которым называют множество функций
при которых условие (3.5.7) выполняется. Если A= B , то
и множество
называют плотным фреймом. При этом выражение
вытекающее из (3.5.7), является обобщением теоремы Парсеваля на плотные фреймы. Для плотных фреймов из (3.5.8) получаем
Другие рефераты на тему «Математика»:
- Целочисленные функции
- Точные методы численного решения систем линейных алгебраических уравнений
- Качественное исследование в целом двумерной квадратичной стационарной системы с двумя частными интегралами в виде кривых третьего и первого порядков
- Метод Монте-Карло и его применение
- Вычисление случайных величин
Поиск рефератов
Последние рефераты раздела
- Анализ надёжности и резервирование технической системы
- Алгоритм решения Диофантовых уравнений
- Алгебраическое доказательство теоремы Пифагора
- Алгоритм муравья
- Векторная алгебра и аналитическая геометрия
- Зарождение и создание теории действительного числа
- Вероятностные процессы и математическая статистика в автоматизированных системах
