Частотно-временной анализ сигналов
Если A=B=1, то плотный фрейм становится ортогональным базисом. Заметим, что для вейвлетов, образованных материнским вейвлетом (3.3.6), хорошие результаты при восстановлении сигналов получаются при
так как
. Для больших величин, например
будет
т.е. восстановление приводит к большим искажениям.
4.3 Примеры вейвлетов для дискретного преобразования
Как было отмечено выше, функции вейвлет обладают свойством частотно-временной локализации, т.е. они ограничены как в частотной, так и во временной областях. Ниже рассмотрим два примера: первый – спектр вейвлетов в частотной области представляет собой идеальный полосовой фильтр, второй – сами функции вейвлет представляют собой прямоугольники. Все вейвлеты, с точки зрения частотно-временных свойств, занимают промежуточное положение между этими крайними случаями.
Sinc-базис. Разобьем ось частот на интервалы (поддиапазоны), как показано на рис. 3.13 при a0 = 2. Такое разбиение называют логарифмическим, так как отношение верхней и нижней границ диапазонов постоянно и равно 2. Такое разбиение является еще и идеальным, так как оно реализуется идеальными полосовыми фильтрами. Подобная идеализация нужна для исследования свойств частотного разложения с помощью идеализированных вейвлетов, что позволит в дальнейшем перейти к более сложным разложениям. Любой сигнал
со спектром
может занимать полосу частот, охватывающую несколько таких поддиапазонов.
Тогда
и
т.е. сигнал представляет собой сумму некоторого числа элементарных сигналов. В рассматриваемом идеальном случае частотные каналы не перекрываются, поэтому имеет место ортогональность этих элементарных сигналов, т.е.
Выберем из всего множества сигналов такие, которые ограничены полосой частот 2I, т.е. имеющие спектр
. Рассмотрим периодическую функцию
такую, что:
, т.е. полученную периодизацией F1(ω) (рис. 3.14)
Тогда спектр функции: Fi (ω) при произвольном I можно представить в виде:
Где
- функция окна такая, что:
Посмотрим, как при этих условиях можно представить функцию f (t) во временной области. Для этого разложим периодическую функцию
с периодом
, в ряд Фурье (см.
):
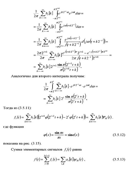
Где, подставляя (3.5.10а) в (3.5.9) и выполняя обратное преобразование Фурье, получим:
Вычислим первый интеграл. Переставляя операции суммирования и интегрирования и ограничивая пределы интегрирования с учетом функции окна, получим:

где вейвлет
(3.5.14)
и (см. рис. 3.16):
(3.5.15)
Выражение (3.5.13) является представлением функции f (t) в базисе вейвлет. В рассматриваемом частном случае идеальной полосовой фильтрации вейвлетом является функция (3.5.14), образованная из материнской функции
по (3.5.15) с учетом (3.5.12). Такой вейвлет называется sinc –вейвлетом по имени функции (3.5.12), которая его образует, а функция (3.5.12) получила название масштабной функции.
Множитель
при
необходим для сохранения нормы
вне зависимости от величины масштаба, так как:
Покажем, что в рассматриваемом частном случае
т.е. определяется отсчетами функции
при
. Рассмотрим интеграл Фурье (
) при дискретных значениях
функции
, заданной на интервале
Имеем, с учетом (3.5.10б):
Последнее равенство справедливо при
и вещественных
Следовательно,
Выполнив преобразование Фурье выражения (3.5.14), можно видеть, что спектр Фурье sinc -вейвлета представляет собой идеальный полосовой фильтр, в общем случае занимающий полосу частот от
до
Вейвлет Хаара. Разобьем теперь временную ось на интервалы, как показано на рис. 3.17 и определим на единичном интервале функцию
Эта функция является материнским вейвлетом, так как она удовлетворяет условию (
). Система сдвигов таких функций
образует ортонормальный базис, так как их взаимная энергия равна нулю при
и равна единице при
Другие рефераты на тему «Математика»:
- Элементарное изложение отдельных фрагментов теории подгрупповых функторов
- Функциональные представления ограниченных дистрибутивных решеток
- Гипергеометрическое уравнение
- Решение военно-логистических задач по выбору оптимального маршрута для военно-транспортных средств
- Интегралы, объем тела вращения, метод наименьших квадратов
Поиск рефератов
Последние рефераты раздела
- Анализ надёжности и резервирование технической системы
- Алгоритм решения Диофантовых уравнений
- Алгебраическое доказательство теоремы Пифагора
- Алгоритм муравья
- Векторная алгебра и аналитическая геометрия
- Зарождение и создание теории действительного числа
- Вероятностные процессы и математическая статистика в автоматизированных системах
