Асимптотика решений дифференциальных уравнений
ТЕОРЕМА 1. Пусть функции 1
определены и непрерывны в
вместе со всеми своими частными произвооными до второго'порядка включительно, а функции
непрерывны в
вместе со всеми своими первыми частными производными. Тогда существует число такое, что при любом
на конечном промежутке времени [to, L]:
1) решение
системы (2.1) остается в G и функции h
с точностью до величин порядка О (г) совпадают соответственно с функциями представляющими собой решение следующей автономной системы не зависящих от е обыкновенных дифференциальных уравнений, правые части которых выражаются через правые части системы (2.1):
циал дуги фазовой траектории (2.3), интегрирование ведется при произвольно фиксированной паре
Предполагаем, что решение системы
(2.8)
имеет начальные значения
2) Функции х (I, е), у (г, е) с точностью до величин порядка О (е) совпадают соответственно с функциями
Здесь ф0 определяется из соотношений постоянная величина, v (t, e) — решение уравнения:
Доказательство. Прежде всего установим ряд свойств решения (2.6) системы (2.2), имеющих место при тех требованиях гладкости, которые указаны в формулировке теоремы 1.
Свойство 1. Периодом решения (2.6) является функция
следовательно, эта функция непрерывна в Gh вместе со всеми своими частными производными до второго порядка включительно. Действительно, из (2.2) следует соотношение интегрирование которого дает формулу (2.9). Из указанной в условиях теоремы гладкости функций
следует соответствующая гладкость функции Т(h, z) в Gh.
Свойство 2. Функции
определены и непрерывны в области —
вместе со всеми своими частными производными до второго порядка включительно.
В самом деле, в силу указанной гладкости правых частей системы (2.2), из (2.5), по теореме о неявных функциях, следует, что функции а (/г, z), Р (/г, z) непрерывны в Gh вместе со всеми своими частными производными до второго порядка включительно. Далее, из теорем о существовании и единственности, о непрерывности и непрерывной дифференцируемости решений системы обыкновенных дифференциальных уравнений по начальным значениям и по параметрам следует, что функции
вместе со всеми своими частными производными до второго порядка включительно, непрерывны в области —
. Следовательно, функции
обладают свойством 2 как сложные функции.!
Свойство 3. Пусть D — некоторая ограниченная замкнутая об ласть, содержащаяся в Gh. Тогда на множестве —
функции
вместе со всеми своими частными производными до второго порядка включительно ограничены.
Свойство 3 является следствием свойства 2, так как периодичность функций
позволяет рассматривать их в замкнутой и ограниченной области
Свойство 4.
так как решение (2.6) описывает фазовую траекторию (2.3). Дифференцирование соотношения (2.10) по Zj дает Свойство 5.
(2.10)
где
(2.11)
Свойство 6.
(2.12)
Свойство 8, Для любой функции y (х, у, z), непрерывной в G, справедливо равенство
где
и интегрирование ведется при произвольно фиксированных
Действительно, вдоль траекторий (2.3), в силу (2.7) и свойства 6, имеем:
что дает:
Перейдем к непосредственному изучению системы (2.1). Заменим переменные х, 2/,%, ., Zi переменными ф, /?, z,, ., z\ по формуле:
|
|
что, в силу (2.10), дает:
Преобразование (2.13) — невырожденное в рассматриваемой области поскольку там
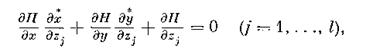
(см. свойство 7). В силу (2.12), замена (2.13) переводит систему (2.1) в следующую:
Система (2.14) является линейной алгебраической по отношению к функциям
с определителем
Другие рефераты на тему «Математика»:
Поиск рефератов
Последние рефераты раздела
- Анализ надёжности и резервирование технической системы
- Алгоритм решения Диофантовых уравнений
- Алгебраическое доказательство теоремы Пифагора
- Алгоритм муравья
- Векторная алгебра и аналитическая геометрия
- Зарождение и создание теории действительного числа
- Вероятностные процессы и математическая статистика в автоматизированных системах
