Углеводы
ДНК и РНК построены практически по одной схеме: полимерная цепочка представляет собой полиэфир фосфорной кислоты и моносахарида с боковыми ответвлениями в виде Н-гликозидных фрагментов.
Различаются они между собой природой моносахарида и набором оснований, образующих Н-гликозидный фрагмент: в ДНК это тимин, цитозин, аде
нин, гуанин, в РНК - урацил, цитозин, аденин, гуанин.
Эти небольшие казалось бы различия в структуре ДНК и РНК, в основном, сводятся к тому, что молекулы
ДНК являются более гидрофобными, а это, в свою очередь, приводит к тому, что в водной среде они проявляют тенденцию к агрегации, которая реализуется в виде двойной спирали. Двойная спираль ДНК построена на базе водородных связей между нуклеиновыми основаниями двух полимерных цепочек по схеме: тимин . аденин, цитозин . гуанин. Эти пары оснований представляют собой как бы "ступеньки веревочной лестницы", скрученной в виде спирали - это своего рода "винтовая лестница".
Водородные связи, образующие ступеньки этой "винтовой лестницы", уникальны по своей структуре - они являются кратными. Это двойная водородная связь в паре аденин-тимин и тройная связь в паре цитозин-гуанин. Бесспорно, такие мостики прочнее ординарных водородных связей, но они по-прежнему слабее любых ковалентных связей.
Различные Н-гликозиды. Различные Н-гликозиды, близкие по структуре к вышеописанным нуклеозидам, выполняющие функции, отличные от функций ДНК и РНК, широко распространены в живом мире - одинаково и в растительном, и в животном. Прежде всего, укажем на аденозин-трифосфат - основной макроэрг живой клетки, или другими словами - молекула, выполняющая роль аккумулятора энергии in vivo. Это лабильное соединение имеет одну важную особенность: первичная спиртовая группа рибозы фосфорилирована трижды и содержит вследствие этого трифосфорную группу, атомы фосфора которой имеют высокую степень электрофильности. Фосфорилированная часть молекулы АТР по своей структуре и свойствам похожа на фосфорный ангидрид - Р205, основной особенностью которого является высокоэкзотермичная реакция гидролиза. Взаимодействие АТР с нуклеофильными реагентами протекает легко и с выделением энергии, которая была затрачена на его синтез - т.е. энергия уже была как бы запасена в этой молекуле.
Аденозинтрифосфат участвует в большинстве метаболических реакций и является ключевым интермедиатом реакций in vivo, протекающих с переносом энергии запасенной им ранее. При гидролизе АТР на первом этапе отщепляется концевая фосфатная группа и выделяется около 30 кДж/моль энергии.
Образовавшийся аденозиндифосфат может гидролизоваться до аденозинмонофосфата с выделением еще некоторого количества энергии. Кроме того, фосфатные группы могут замещаться другими нуклеофилами - например, аминокислотами с образованием ацилфосфатов, которые являются ангидридами по своей химической природе и могут, в свою очередь, легко вступать в другие биохимические реакции также с выделением энергии. Широко распространен в живых системах циклический изомер AMP, выполняющий функцию посредника в работе ряда гормонов и нервных медиаторов.
Среди Н-гликозидов следует также особо отметить кофермент гликозидной структуры - НАД+, являющийся наиболее распространенным окислительно-восстановительным коферментом: он участвует в реакциях спиртокарбонильные превращения и др. Этот кофермент по химической структуре является дигликозидом.
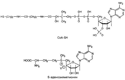
Другой интересный кофермент Н-гликозидной структуры - кофермент А, который участвует в биохимических реакциях переноса ацильного фрагмента in vivo и образует при биосинтезе большинства классов природных соединений интермедиат Co-S-CO-CH3. Н-гликозидом является и кофермент S-аденозилметионин, осуществляющий перенос метиленой группы в биосинтетических реакциях.
Из всего вышесказанного о различных Н-гликозидах ясно, что все они построены с участием аденина - поэтому часто их выделяют в отдельную группу.
Другие рефераты на тему «Биология и естествознание»:
Поиск рефератов
Последние рефераты раздела
- Влияние экологических факторов на разнообразие моллюсков разнотипных искусственных и естественных водоемов
- Влияние экологии водоемов на биологическое разнообразие фауны
- Влияние фтора и фторосодержащих соединений на здоровье населения
- Влияние факторов внешней среды на микроорганизмы
- Влияние физической нагрузки на уровень адренокортикотропного гормона, адреналина, кортизола, кортикостерона в сыворотке крови спортсменов
- Временные аспекты морфогенетических процессов. Эволюция путем гетерохронии
- Вопросы биоэтики
