Расчет показателей корреляционного, дисперсионного анализа
|
Y |
X |
Z |
Y-Yср |
(Y-Yср)2 |
Х-Хср |
(х-хср)2 |
Z-Zср |
(Z-Zср)2 |
(Y-Yср) * (Х-Хср) |
(Y-Yср) * (Z-Zср) |
|
3.5 |
215 |
4.6 |
-1.03 |
1.0609 |
-13.5 |
182.25 |
-0.62 |
0.3844 |
13.905 |
0.6386 |
|
3.8 |
230 |
4.8 |
-0.73 |
0.5329 |
1.5 |
2.25 |
-0.42 |
0.1764 |
-1.095 |
0.3066 |
|
6.2 |
265 |
6.7 |
1.67 |
2.7889 |
36.5 |
1332.25 |
1.48 |
2.1904 |
60.955 |
2.4716 |
|
4.6 |
205 |
5.1 |
0.07 |
0.0049 |
-23.5 |
552.25 |
-0.12 |
0.0144 |
-1.645 |
-0.0084 |
|
5.7 |
200 |
4.3 |
1.17 |
1.3689 |
-28.5 |
812.25 |
-0.92 |
0.8464 |
-33.345 |
-1.0764 |
|
4.1 |
220 |
5 |
-0.43 |
0.1849 |
-8.5 |
72.25 |
-0.22 |
0.0484 |
3.655 |
0.0946 |
|
3.3 |
225 |
4 |
-1.23 |
1.5129 |
-3.5 |
12.25 |
-1.22 |
1.4884 |
4.305 |
1.5006 |
|
4.9 |
230 |
6.1 |
0.37 |
0.1369 |
1.5 |
2.25 |
0.88 |
0.7744 |
0.555 |
0.3256 |
|
5.2 |
250 |
6.4 |
0.67 |
0.4489 |
21.5 |
462.25 |
1.18 |
1.3924 |
14.405 |
0.7906 |
|
4 |
245 |
5.2 |
-0.53 |
0.2809 |
16.5 |
272.25 |
-0.02 |
0.0004 |
-8.745 |
0.0106 |
|
Сумма | ||||||||||
|
4.53 |
228.5 |
5.22 |
-2.7E-15 |
8.321 |
0 |
3702.5 |
-7.1E-15 |
7.316 |
52.95 |
5.054 |
Рассчитаем конечный вид уравнений прямолинейной регрессии по формуле
yx = 1.262 + 0.014x
yz = 0.924 + 0.69z
Из полученных уравнений рассчитаем выровненные значения результирующего показателя
|
Среднедушевое потребление деликатесной мясной продукции в год, кг/ чел. |
Среднегодовая цена продукции по городу, руб./кг |
Среднедушевое потребление деликатесной мясной продукции в год, кг/ чел. |
Среднедушевой доход одного жителя города за месяц, тыс. руб./ чел. |
|
4.337 |
215 |
4.102 |
4.6 |
|
4.551 |
230 |
4.240 |
4.8 |
|
5.052 |
265 |
5.552 |
6.7 |
|
4.194 |
205 |
4.447 |
5.1 |
|
4.122 |
200 |
3.894 |
4.3 |
|
4.408 |
220 |
4.378 |
5 |
|
4.480 |
225 |
3.687 |
4 |
|
4.551 |
230 |
5.138 |
6.1 |
|
4.837 |
250 |
5.345 |
6.4 |
|
4.766 |
245 |
4.516 |
5.2 |
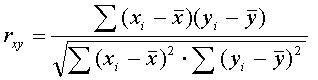
Рассчитаем значение нормированного коэффициента корреляции по формуле:
rxy = 0.301669
rzy = 0.647755
Общая классификация корреляционных связей
сильная, или тесная при коэффициенте корреляции r>0,70;
средняя при 0,50<r<0,69;
умеренная при 0,30<r<0,49;
слабая при 0,20<r<0,29;
очень слабая при r<0,19.
Следовательно, связь между Среднегодовой ценой продукции по городу и Среднедушевым потреблением деликатесной мясной продукции в год (rxy = 0,301669) умеренная.
Связь между Среднедушевым доход одного жителя города за месяц и Среднедушевым потреблением деликатесной мясной продукции в год (rzy = 0,647755) средняя.
Критическое значение коэффициента корреляции ккрит=0,72, так как рассчитанные значения меньше критического, предположение о том что зависимость достоверная ложно.
Задание №14
По данным табл. 14 определить: 1) основные параметры вариационного ряда (среднее арифметическое, среднее линейное отклонение, дисперсию, среднее квадратическое отклонение и коэффициент вариации), сделать вывод об однородности совокупности данных и следствии из него; 2) графически изобразить вариационный ряд и определить аналитический вид распределения частот (или частостей); 3) рассчитать теоретические частоты (частости) по предполагаемому аналитическому уравнению и построить полигон распределения теоретических частот (частостей) на предыдущем графике.
Другие рефераты на тему «Экономика и экономическая теория»:
- Анализ взаимосвязи актива и пассива баланса
- Экономическая сущность лизинга и его роль в укреплении экономики производства
- Безработица как социальная проблема
- Издержки фирмы. Макроэкономическое равновесие. Операции на открытом рынке как метод кредитно-денежной политике государства
- Безработица - теоретические и практические аспекты
Поиск рефератов
Последние рефераты раздела
- Рейдерство в России на примере рейдерского захвата «МЕГА ПАЛАС ОТЕЛЯ» в г. Южно-Сахалинск
- Акционерные общества и их роль в рыночной экономике
- Акционерное общество (компания, корпорация) как главный институт предпринимательской деятельности
- Альтернативные модели в рамках экономических систем
- Анализ внешней и внутренней среды предприятия
- Анализ государственного регулирования инновационной деятельности
- Анализ демографической ситуации и оценка использования трудовых ресурсов России
