Расчет показателей корреляционного, дисперсионного анализа
Σ
= 1780
Тогда критерий Спирмена равен:
r = -0,837, это значит корреляция недостоверна. Значит между объемом товарооборота предприятия торговли и расходами на обучение и повышение квалификации персонала не существует связи.
7. Рассчитаем корреля
ционные отношения между случайными величинами, для которых можно предположить наличие нелинейной связи: расходами предприятия на рекламу и продвижение товаров на рынок и объемом товарооборота предприятия торговли; расходами предприятия на рекламу и продвижение товаров на рынок и прибылью предприятия.
Коэффициенты корреляции:
Rxu = 0,8
Rxz = -0,96
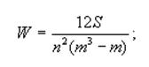
8. Рассчитаем коэффициент конкордации для расходов предприятия на рекламу и продвижение товаров на рынок, объемом товарооборота предприятия торговли и продвижение товаров на рынок и прибылью предприятия, между которыми на основе проведенного анализа можно предположить наличие статистической связи
W = 0.88 – значит согласованность показателей стремиться к полной.
После проведении анализа можно сделать следующие выводы:
- объем товарооборота предприятия торговли имеет сильную прямую связь с расходами предприятия на рекламу и продвижение товаров на рынок (0,4≤0,81≤1) и слабую обратную связь с расходами на обучение и повышение квалификации персонала (0,37≤0,4);
- . прибыль предприятия торговли имеет сильную обратную связь с расходами предприятия на рекламу и продвижение товаров на рынок (0,4≤0,96≤1) и слабую прямую связь с расходами на обучение и повышение квалификации персонала (0,22≤0,4);
- между объемом товарооборота предприятия торговли и расходами предприятия на рекламу и продвижение товаров на рынок существует обратная средней тесноты связь;
- Rxu = 0,8 корреляция между расходами предприятия на рекламу и продвижение товаров на рынок и объемом товарооборота предприятия торговли;
Rxz = -0,96 корреляция расходами предприятия на рекламу и продвижение товаров на рынок и прибылью предприятия.
Задача 2. Однофакторный дисперсионный анализ
При уровне значимости a=0.05 определите статистическую достоверность влияния фактора А на динамику величины Х.
|
№ испытания |
A1 |
A2 |
A3 |
A4 |
|
1 |
2 |
2 |
6 |
7 |
|
2 |
0 |
13 |
8 |
11 |
|
3 |
14 |
13 |
10 |
2 |
|
4 |
11 |
5 |
9 |
5 |
|
5 |
1 |
12 |
4 |
6 |
|
6 |
7 |
4 |
8 |
РЕШЕНИЕ
Число выборок m=6, значения во всех выборках n=22
|
№ испытания |
A1 |
A2 |
A3 |
A4 |
Σ |
n |
|
1 |
2 |
2 |
6 |
7 |
17 |
4 |
|
2 |
0 |
13 |
8 |
11 |
32 |
3 |
|
3 |
14 |
13 |
10 |
2 |
39 |
4 |
|
4 |
11 |
5 |
9 |
5 |
30 |
4 |
|
5 |
1 |
12 |
4 |
6 |
23 |
4 |
|
6 |
7 |
4 |
8 |
19 |
3 |
Выборочное среднее:
Сумма квадратов отклонений выборочных средних
от общего среднего
(сумма квадратов отклонений между группами):
Сумма квадратов отклонений наблюдаемых значений
от выборочной средней
(сумма квадратов отклонений внутри групп):
Общая сумма квадратов отклонений наблюдаемых значений
от общего среднего
|
№ |
А ср. |
А ср.2 |
А ср.2 * n |
|
1 |
4,25 |
18,0625 |
72,25 |
|
2 |
10,66667 |
113,7778 |
341,3333 |
|
3 |
9,75 |
95,0625 |
380,25 |
|
4 |
7,5 |
56,25 |
225 |
|
5 |
5,75 |
33,0625 |
132,25 |
|
6 |
6,333333 |
40,11111 |
120,3333 |
|
Σ |
7,272727 |
1271,417 |
Другие рефераты на тему «Экономика и экономическая теория»:
Поиск рефератов
Последние рефераты раздела
- Рейдерство в России на примере рейдерского захвата «МЕГА ПАЛАС ОТЕЛЯ» в г. Южно-Сахалинск
- Акционерные общества и их роль в рыночной экономике
- Акционерное общество (компания, корпорация) как главный институт предпринимательской деятельности
- Альтернативные модели в рамках экономических систем
- Анализ внешней и внутренней среды предприятия
- Анализ государственного регулирования инновационной деятельности
- Анализ демографической ситуации и оценка использования трудовых ресурсов России
