Автоматизация измерений, контроля и испытаний
|
Рис. 4 |
Таблица 2
|
Данный элемент выпускается в виде интегральных схем (ИС) типа ЛП5 (серии 133, 155, 530, 531, 533, 555, 1531, 1533); ЛП12 (555); ЛП107 (100, 500, 1500); ЛП2 (561, 564); ЛП14 (1561) и т. п.
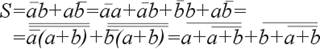
Реализуем четвертьсумматор в базисах И-НЕ, ИЛИ-НЕ и с использованием только одного инвертора, для чего преобразуем уравнение (5):
(6)
|
(7) | ||
|
|
(8) | |
Схемы, полученные по уравнениям (6)–(8), приведены на рис. 5.
Рис. 5
Полусумматор (рис. 6) имеет два входа a и b для двух слагаемых и два выхода: S — сумма, P — перенос. Обозначением полусумматора служат буквы HS (half sum — полусумма). Работу его отражает таблица истинности 2 (табл. 3), а соответствующие уравнения имеют вид:
|
|
(9) |
|
Рис. 6 |
Таблица 3
|
Из уравнений (9) следует, что для реализации полусумматора требуется один элемент “исключающее ИЛИ” и один двухвходовый вентиль И (рис. б).
Полный одноразрядный двоичный сумматор
Он (рис. 7) имеет три входа: a, b — для двух слагаемых и p — для переноса из предыдущего (более младшего) разряда и два выхода: S — сумма, P — перенос в следующий (более старший) разряд. Обозначением полного двоичного сумматора служат буквы SM. Работу его отражает таблица истинности 3 (табл. 4).
|
Рис. 7 |
Таблица 4
|
Уравнения, описывающие работу полного двоичного сумматора, представленные в совершенной дизъюнктивной нормальной форме (СДНФ), имеют вид:
Другие рефераты на тему «Коммуникации, связь и радиоэлектроника»:
- Аналоговые перемножители напряжения
- Оптические средства обнаружения
- Приёмник радиовещательный карманный
- Разработка системы управления освещением при помощи любого пульта дистанционного управления от бытовой аппаратуры
- Гибкие производственные линии (ГПЛ) механообрабатывающего производства корпусных деталей
Поиск рефератов
Последние рефераты раздела
- Микроконтроллер системы управления
- Разработка алгоритмического и программного обеспечения стандарта IEEE 1500 для тестирования гибкой автоматизированной системы в пакете кристаллов
- Разработка базы данных для информатизации деятельности предприятия малого бизнеса Delphi 7.0
- Разработка детектора высокочастотного излучения
- Разработка микропроцессорного устройства для проверки и диагностики двигателя внутреннего сгорания автомобиля
- Разработка микшерного пульта
- Математические основы теории систем
