Анализ критериев эффективности аэродромных пожарно-спасательных комплексов
На территории и в районе аэродрома противопожарную защиту и тушение пожаров обеспечивает АПСК. Под аэродромным пожарно-спасательным комплексом понимается минимально необходимое количество технических средств, в данном случае, аэродромных пожарных автомобилей (ПА), оснащенных огнетушащими средствами (ОТС) и определенным образом размещенных на территории аэродрома.
Очевидно, что АПСК может сч
итаться эффективным, если по своим тактико-техническим параметрам он обеспечивает тушение или локализацию пожара самолета, находящегося в любой точке аэродрома, не позже чем через заданный с начала возникновения пожара момент времени.
Принятая в настоящее время методика оценки эффективности АПСК заключается в проверке его соответствия:
■ Количество ОТС, с заданным огнетушащим свойством должно быть не менее требуемого:
Qф
Qтр;
■ Производительность подачи указанных ОТС при тушении пожара должно быть не менее требуемой:
qф
qтр;
■ Время прибытия ПА в наиболее удаленную точку аэродрома должно быть не более заданного интервала:
ф
тр;
В случае, если комплекс состоит из n ПА различных типов и при этом Qi,qi,Ii,
i - соответственно количество ОТС, производительность их подачи, огнетушащая интенсивность подачи составов и время прибытия в наиболее удаленную точку аэродрома для i-го автомобиля, Qn,qn,In,
n - нормативные значения указанных показателей для всего комплекса, то вышеперечисленные требования математически записываются в виде следующей системы:
Показатели gb ц т, являются обобщающими, т.к. по физической сущности обобщают влияние различных параметров ПА, территориальной их на аэродроме и элементов организации службы на эффективность тушения пожаров самолетов.
В настоящее время в результате обобщения в системе ICAO многолетнего опыта эксплуатации и применении ПА установлены следующие значения нормативных величин:
н=3мин, IH=0,137кг/м*с, a QH, qH в зависимости от категории пожарной защиты ВПП от 800 до 41000кг и от 6 до 226кг/с соответственно.
На основе изложенной методики оценки эффективности АПСК определяются их количественный и качественный состав. Однако, базируясь на такой методике затруднительно оценить эффективность комплекса в конкретном аэропорту, при наличии весьма значительного разброса динамических и скоростных характеристик ПА различных типов, различном размещении ПА на АСС и т.д. Таким образом, принятая система оценки не учитывает количественно взаимосвязи различных показателей и параметров АПСК.
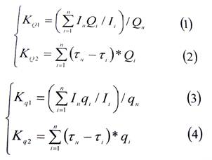
Для оценки эффективности АПСК вводят и нормированные показатели, которые сверяют обобщающие показатели комплекса. В качестве таких показателей можно использовать критерии эффективности комплекса ПА по запасу ОТС (Kq) и по производительности (Kq) следующего вида:
В случае если Ii=IH , а
i=
H , то KQ2=Kq2=0 , а KQ1 и K q 1 принимают формулу, которая используется в применяемой в настоящее время методике оценки АПСК.
Критерии эффективности показывают, что при значениях Kq1 и Kq1
1 и при значениях Kq2 и Kq2
0 аэродром располагает АПСК достаточной эффективности, а в случае, если эти условия, хотя бы для одного критерия эффективности не выполняются - не достаточной.
Анализируя систему уравнений (1) .(4) можно установить, что обеспечить приемлемый уровень эффективности АПСК, в целом, невозможно, улучшая только какой-либо один показатель при неудовлетворительном значении других.
Так, если из уравнений (1) и (4) можно предположить, что эффективность АПСК можно повысить за счет простого увеличения вывозимого запаса ОТС (увеличивая количество ПА), то уравнения (2) и (3) показывают, что такое предположение будет неоправданно, если ПА будут обладать низкими скоростными и динамическими характеристиками, или их размещения на аэродроме не обеспечит приемлемых значений
i
5. Расчетная часть
5.1 Исходные данные
Дано:
> Категория по УТПЗ-7:
qн=133 л/с;
Qн=24000л;
Iн=0,137л/м2*с;
> Тип и количество ПА:
ü АЦ-40(131)-1 шт.:
qi = 40л/с;
Qi = 3900л;
Vmax = 85 км/ч.
ü АА-60(7310)- 1 шт.:
qi = 60л/с;
Qi = 12900л;
Vmax = 60 км/ч.
ü АА-15/80 (790912)- 1 шт.
ü qi = 80л/с;
ü Qi = 14000л;
ü Vmax = 75 км/ч.
> Тип пенообразователя – ПО-1:
Ii = 0,14 л/м2·с
>Расстояния: М=100м;
L1=500м;
L2=1800м;
L3=1000м.
5.2 Выполнение расчетов
1.Определим длину маршрута от основной аварийно-спасательной станции (ОАСС) до расчетной точки (РТ):
Iобщ=Iрд+Iип+Iг=100+1800+1000=2900м.
2.Определим время развертывания каждого пожарного автомобиля:
i=
рд+
ип+
г(-30%)+
сбора
АЦ-40:
1 = 7+60+47+45=159сек.
АА-60:
2 = 9+80+66,9+45=200,9сек.
АА-15/80:
3 = 7+75+69+45=196сек
Рассчитываем критерии эффективности по системе уравнений (1)…(4):
IH/I=0,137/0,14=0,98
По запасу ОТС: KQ1 =0,98*(3900+12900+8000)/24000=1,3
KQ2 = 3900(180-159)+12900(180-200,9)+14000(180-196)=-411710
По производительности: Kq1=0,98*180/133=1,3
Kq2=40(180-159)+60(180-200,9)+80(180-196)=-1694
После проведения расчётов видно, что
KQ1=1,3; Kq1=1,3
1
KQ2=-411710; Kq2=-1694
0
Таким образом, комплекс считается неэффективным.
5. 3 Выводы и предложения
Другие рефераты на тему «Безопасность жизнедеятельности и охрана труда»:
Поиск рефератов
Последние рефераты раздела
- О средствах защиты органов дыхания от промышленных аэрозолей
- Обзор результатов производственных испытаний средств индивидуальной защиты органов дыхания (СИЗОД)
- О средствах индивидуальной защиты от пыли
- И маски любят счёт
- Правильное использование противогазов в профилактике профзаболеваний
- Снижение вредного воздействия загрязнённого воздуха на рабочих с помощью СИЗ органов дыхания
- О средствах индивидуальной защиты органов дыхания работающих
