Оптимальная волноводно-щелевая решетка
Ом (22)
d=0.345 см
r =0.052 см
![]() |
Xo=0.83 см
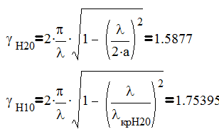
Определим расстояние от штыря до первой щели L1.
L1 выбирается с таким рассчетом, ч
тобы уже на первой щели напряженность поля ЕН20 была примерно в 10-100 раз меньше напряженности поля ЕН10, т.е. из условия
![]() |
(23)
Где gН20, gН10 – постоянные распространения волн Н10 и Н20 соответственно.
(24)
(25)
(26)
Подставляя все полученные данные рассчитываем L1=0.97 см.
Из полученных данных в качестве питающего фидера подходит обычнй коаксиальный кабель с волновым сопротивлением 75 Ом.
Определение оптимального растояния от последней щели до коротко замкнутого поршня
Рис5. Эквивалентная схема многощелевой резонансной антенны с продольными щелями на широкой стенки.
Анализ схемы показывает , что выполняется соотношение
(27)
z-расстояние от последней щели до закорачивающего поршня
Из формулы видноб что для достижения полного согласования ( Г=0 ) расстояние z нужно выбрать так, чтобы КСВ=1 . Вслучае резонансных щелей (bn=0) для достижения Г=0 необходимо,чтобы:
1.
2.
Из выражений видно , что для полного соглассования растояние от поршня до первой щели =
Заключение
В данной курсовой работе был произведен расчет оптимальной волноводно-щелевой решетки. При этом было выбрано Дольф-Чебышевское распределение как наиболее отвечающее поставленным условиям .А также соглассование волновода с коаксиальным кабелем
(основные параметры соглассования r, d, xo, zo, lo)
Основные характеристики расчитанной ВЩР :
Количество щелей – 30;
КПД = 82%
Ширина ДН 2q0.5=8°
Уровень первого токового лепестка –30 Дб
Список использованной литературы :
1. Антенны и устройства СВЧ (проектирование фазированных антенных решеток). Под ред. Д.И.Воскресенского.
2. Г.З.Айзенберг. Антенны ультракоротких волн.
3. Расчет и проектирование антенно-фидерных устройств. Под ред. В.А.Наследника
4. М.С.Жук. Проектирование линзовых, сканирующих, широкодиапазонных антенн и фидерных устройств.
5. А.С.Лавров, Г.Б.Резников. Антенно-фидерные устройства.
Другие рефераты на тему «Коммуникации, связь и радиоэлектроника»:
- Разработка системы управления освещением при помощи любого пульта дистанционного управления от бытовой аппаратуры
- Воздействие радиационного излучения на операционные усилители
- Термостат
- Разработка алгоритмического и программного обеспечения стандарта IEEE 1500 для тестирования гибкой автоматизированной системы в пакете кристаллов
- Характеристика РЭСИ как объекта теории надежности. Основные показатели безотказности для невосстанавливаемых объектов
Поиск рефератов
Последние рефераты раздела
- Микроконтроллер системы управления
- Разработка алгоритмического и программного обеспечения стандарта IEEE 1500 для тестирования гибкой автоматизированной системы в пакете кристаллов
- Разработка базы данных для информатизации деятельности предприятия малого бизнеса Delphi 7.0
- Разработка детектора высокочастотного излучения
- Разработка микропроцессорного устройства для проверки и диагностики двигателя внутреннего сгорания автомобиля
- Разработка микшерного пульта
- Математические основы теории систем


