Очистка и повторное использование технической воды и промышленных стоков
где Re0 = co0dpBl\xQ – число Рейнольдса; Аг = <? рвд^& " число Архимеда; рв, – соответственно плотность и вязкость чистой воды.
Вязкость и плотность таких систем могут меняться и с учетом объемной концентрации С0 рассчитываются по формулам:
где е – объемная доля жидкой фазы; Уж и VT – объем соответственно жидкой и твердой фазы.
Для реальных условий скорость стесненного осаждения монодисперсных сферических частиц рассчитывают по формуле Стокса:
где
В горизонтальных песколовках осаждение песка близко к осаждению частиц в ламинарном режиме, и скорость его осаждения определяют по формуле Стокса.
Длину песколовки определяют по формуле:
где к – коэффициент, учитывающий турбулентность потока; Нр – расчетная глубина песколовки, м; и – средняя скорость движения воды, м/с. Коэффициент к определяют из уравнения:
Площадь зеркала воды F, глубину Нр и удельную нагрузку по воде qQ определяют из зависимостей:
где Q – расход воды, м3/сут; В-ширина песколовки, м; Э – эффективность очистки.
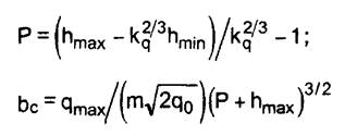
Выход сточной воды происходит через водослив, размеры которого определяют по формулам:
где Р – перепад уровней воды между дном песколовки и порогом водослива; hmax, hmin – уровень воды, м при максимальном qmax и минимальном qmin - расходах и и = 0,3 м/с; kq = qmBJqmm\ bc – ширина водослива, м; m = 0,35–0,38 – коэффициент расхода водослива.
Скорость движения воды при диаметре частиц 0,2–0,3 мм принимается и = 0,3 м/с, а время пребывания воды в песколовке 30 с.
Из песколовок с круговым движением воды наиболее эффективны аэрируемые песколовки.
Горизонтальные аэрируемые песколовки работают при и = 0,08–0,12 м/с, В/Н = 1–1,5, общей глубине 0,7–3,5 м, гидравлической крупности песка coq = 18 мм/с, интенсивности аэрации 3–5 м3/м2ч.
В песколовках с круговым движением воды объем аэрированной зоны изменяется от 25,8 до 170 м3 при интенсивности аэрации 3,5 м3/м2ч.
Для увеличения скорости осаждения частиц примесей в промышленные стоки вводят коагулянты и флокулянты, которые образуют неустойчивые полидисперсные системы.
Продолжительность отстаивания определяют по формуле:
где Н – глубина проточной части отстойника; п – коэффициент, учитывающий свойства взвешенных частиц; h – высота эталонного цилиндра; т – продолжительность осаждения.
Объем отстойной зоны V0 = QT, а поверхность осаждения F0 = Q/wq.
Гидравлическую крупность определяют по зависимости:
где к = 0,5; 0,35; 0,45 – коэффициент, характеризующий конструкцию отстойника соответственно для горизонтального, вертикального и радиального типа, а – 0,66–1,5 – коэффициент, учитывающий влияние вязкости воды на скорость осаждения при изменении температуры от 40 до 50 °С; ео-вертикальная составляющая скорости движения воды в отстойнике; при изменении и от 5 до 20 мм/с величина w изменяется от 0 до 0,5 мм/с.
Расчет отстойников с учетом эффективности осветления проводится в соответствии со стандартными методиками.
Коллоидные вещества, гидратированные взвеси, мелкодисперсные вещества вследствие их малой плотности осаждаются медленно. Даже ввод коагулянтов не обеспечивает заданной степени очистки промышленных стоков.
С целью более глубокой очистки воды от таких примесей и ее осветления используют флотацию.
Флотацию растворенным в воде воздухом обычно ведут совместно с коагуляцией и флокуляцией взвеси для удаления коллоидных малоконцентрированных примесей.
Пузырьки воздуха размером 10–100 мкм, выделяющиеся из воды, пересыщенной растворенным в ней воздухом, захватывают взвесь частиц. Воздух диспергируется турбиной – импеллером флоат-машины. Иногда воздух вводят под избыточным давлением 0,03–0,2 МПа через сопла или фильтры. Флотация осуществляется крупными быстро всплывающими пузырьками.
При электрофлотации очистку промышленных стоков осуществляют кислородом и водородом, которые выделяются на электродах, размещаемых в осветленной воде. Выделяющийся в ламинарном режиме газ с размером пузырьков 50 мкм обеспечивает высокий эффект очистки.
Биологическая и химическая флотация происходит в результате взаимодействия пузырьков газа размером 5–50 мкм с поверхностью взвешенных в воде частиц, которые освобождаются от воды.
Наибольшую эффективность разделения достигают при соотношении между твердой и газовой фазами, равном 0,01–0,1, и определяют по формуле:
где Geo3, G4 – соответственно масса воздуха и твердых частиц в суспензии, г; У* – растворимость воздуха в воде при атмосферном давлении рабочей температуре, см3 /дм3; fH = 0,5–0,8 – степень насыщения; Р – давление насыщения воды воздухом, Па; Qi – количество воды, насыщенное воздухом, м3/ч; Сч – концентрация твердой фазы в суспензии, г/см3; Q – расход сточной воды, м3/ч.
На практике в сочетании с химической коагуляцией широко применяют напорную флотацию, позволяющую обеспечивать осветление воды за 15–40 мин со скоростью, в 4–5 раз превышающей скорость осаждения и при расходе энергии 0,1–0,2 кВт ч/м3.
Установка с рециркуляцией работает следующим образом. Вода, смешанная с коагулятором в смесителе 1, поступает в камеру 2 хлопьеобразования с лопастной мешалкой, где образуются крупные хлопья коагулянта, сорбирующие коллоидные взвеси. Из камеры 2 коагулированная вода со скоростью 0,2–0,5 м/с перетекает по трубе 3 в центральную камеру 4. В трубу 3 врезан трубопровод, по которому со скоростью 1–2 м/с вводится вода, пересыщенная воздухом. Часть воды, очищенная во флотаторе насосом 7, подается под давлением в смеситель 9, куда компрессором 8 вводится сжатый воздух, и затем в сатуратор 10. В сатураторе за 1–3 мин происходит насыщение воды воздухом и отделение нерастворившего-ся воздуха. Насыщенная вода после снижения давления в дросселирующем устройстве 11 становится пересыщенной и поступает во флотатор. Тонкий слой пены со взвесью собирается скребком 6 в приемный бункер 5.
Применяемые в отечественной и зарубежной практике сатураторы представлены на р и с. 3. Недостатком сатураторов является введение воздуха в насос, что снижает его производительность и КПД при увеличенном кавитационном износе. Более эффективны сатураторы, в которых воздух вводится после насоса. Для повышения эффективности используется насадочный сатуратор с кольцами Рашига, а также распылительный и струйный сатураторы.
Другие рефераты на тему «Экология и охрана природы»:
- Создание научных основ обеззараживания и очистки воды на основе нанотехнологии
- Государственная экологическая экспертиза
- Методика изучения степени загрязнения окружающей среды по лишайникам
- Хопёрский заповедник – сокровище природы
- Концепция биопродуктивности экосистем, экологический мониторинг и финансирование экологических программ
Поиск рефератов
Последние рефераты раздела
- Влияние Чекмагушевского молочного завода на загрязнение вод реки Чебекей
- Влияние антропогенного фактора на загрязнение реки Ляля
- Киотский протокол - как механизм регулирования глобальных экологических проблем на международном уровне
- Лицензирование природопользования, деятельности в области охраны окружающей среды и обеспечения экологической безопасности
- Мировые тенденции развития ядерной технологии
- Негативные изменения состояния водного бассейна крупного города под влиянием деятельности человека
- Общественная экологическая экспертиза и экологический контроль
