Экономико-математические методы маркетингового исследования
Дальнейший процесс решения задачи можно построить двумя способами.
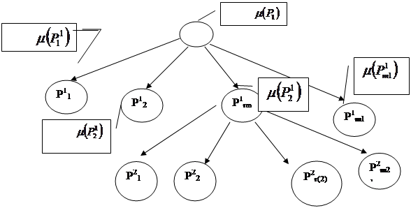
Граф:
Первый способ:
Для дальнейшего разбиения выбирается подмножество из подмножеств, полученных в результате последнего разбиения
, например:
Пусть это будет width=65 height=27 src="images/referats/7343/image039.png">и производим разбиение.
Дальнейший процесс будет проходить также.
При этом способе можно достаточно быстро получить подмножество
, содержащее всего один план задачи
, то
- претендент на оптимальный план. Запоминаем
на графе на ветке, приводящей к
ставим конец и корректируется величина
, т.е.
.
увеличена, следовательно нужно рассмотреть все нерассмотренные подмножества.
Далее продолжаем процесс решения задачи также.
Второй способ:
Выбирается множество для разбиения из всех висячих вершин, ещё нерассмотренных.
Выбирать способ решения задачи нужно в зависимости от конкретной задачи. При любом способе решения процесс продолжаем до тех пор пока не будет выполнено следующее условие:
для любого
(висячие вершины).
Решением задачи будет тот план, который дал последнее значение величине
.
Для решения конкретной ЗДП необходимо строить алгоритм метода ветвей и границ, согласно приведенной схеме. При этом нужно решить следующие проблемы:
1) как найти
;
2) по какому принципу проводить разбиение множества;
3) как вычислить
.
Решение задачи о комивояжере.
– верхняя оценка оптимального значения
– нижняя оценка функции цели
на множестве
- оптимальная
Как найти
?
Для нахождения
необходимо провести операцию приведения матрицы
.
Определение:
Процесс вычитания из каждого элемента i-ой строки матрицы
минимального элемента этой строки называется приведением матрицы
по строке I, а минимальный элемент этой строки называется константой приведения. Аналогично процесс вычитания из каждого элемента j-ого столбца матрицы
называется приведением матрицы
по столбцам.
Приведенная матрица – это матрица, которая приведена и по всем строкам и столбцам.
– суммарная константа приведения матрицы
.
Критерий приведения – в каждой строке и столбце должны быть хотя бы один нуль.
Приведенная матрица –
t – произвольный гамельктоновый цикл.
![]()
На каждой итерации разбиваем множество на два подмножества.
Принцип разбиения:
X – произвольное множество, которое разбивается.
– подмножества, на которые разбивается множество X.
На каждой итерации свои подмножества –
. Разбиение проходит по дуге
. Во множество
входят те гамельктоновы циклы из x, каждые из которых содержат дугу
. Во множество
входят те гамельктоновы циклы из x, в которых запрещена дуга
, т.е. запрещен переезд в город l.
Из таких соображений выбираем дугу
:
1.
должно быть как можно меньше;
2. желательно выбрать
, чтобы максимально возросла
, следовательно, для дальнейшего разбиения выберем y.
Это приведет к возможному нахождению гамельктонова цикла, а, следовательно, к коррекции величины
.
Чтобы выбрать дугу
необходимо иметь матрицу
, следовательно, прежде всего рассмотрим как можно получить, зная
, матрицы соответствующие
и
.
Схема получения
:
1) т. к.
входит в любой гамельктоновый цикл из множества y, Поэтому вычеркиваем k – строку и l-столбец в матрице
, т. к. больше не можем въезжать в город l и выезжать из города k.
Другие рефераты на тему «Маркетинг, реклама и торговля»:
- Маркетинговое исследование предпочтений потребителей продуктов питания среднеценового сегмента
- Особенности рекламной кампании при выведении на рынок новой аудиовизуальной продукции
- Социальная реклама благотворительных фондов и органов опеки и попечительства Воронежской области (2006-2009 гг.)
- Банковский маркетинг
- Ассортимент и общая характеристика тканей
