Водорастворимые полимеры
Степень развернутости клубка полиэлектролита увеличивается пропорционально степени ионизации вследствие отталкивания ионизованных групп, но только до определенного предела. Рис.8 иллюстрирует изменение радиуса инерции полиэлектролита в зависимости от степени ионизации. Из рисунка видно, что радиус инерции достигает предельного значения при степени ионизации, равной - 0.3. Для удлиненных молекул
полиэлектролитов нет причин для увеличения заряда выше этого значения, поскольку размеры макромолекул не будут далее заметно изменяться, если - 30% способных к ионизации групп переходят в ионизованное состояние. Это соответствует примерно половине величины рК полимера. Далее размеры макромолекул в растворе будут рассмотрены в рамках скейлинговых теорий.
3. Конфигурация полимера и свойства растворителя
Выше подчеркивалось, что низкая растворимость полимеров и связанные с этим явления обусловлены низкой энтропией полимера по сравнению со свободными мономерами. Очевидно, что различия в свойствах нейтральных полимеров и полиэлектролитов связаны с энтропией противоионов и только опосредованно с электростатическими взаимодействиями.
3. Скейлинговые соотношения
Таким образом, следует задаться вопросом, всегда ли энтропия полимера отрицательна? Безусловно, нет. Например, конфигурационная энтропия определяет физические свойства растворов полимера. Одним из концептуально простых свойств является расстояние между концами макромолекулы Rtty обычно определяемое как среднее расстояние между первым и последним мономерным звеном в цепи. При отсутствии какого бы то ни было взаимодействия в цепи полимера, состоящей из г мономеров, скейлинговое выражение для расстояния между концами макромолекулы имеет вид
Макромолекула в состоянии гауссовского клубка хаотически блуждает, при этом каждая связь может принимать в пространстве любое направление. Уравнение аналогично результату, полученному из уравнения диффузии, если число мономеров в цепи г интерпретировать как время. Заряженные мономеры в цепи полиэлектролита испытывают дальнодействующее отталкивание, и в этом случае цепь принимает более вытянутую форму:
Уравнение 14 справедливо для полиэлектролита при бесконечном разбавлении и в отсутствие добавок солей. В этом случае дебаевский радиус экранирования
При конечной концентрации полимера и при добавлении соли происходит экранирование. Если
, то расстояние между концами полимерной цепи описывается следующим скейлинговым выражением:
Это выражение выполняется, если для полимерной цепи характерно отталкивание на коротких расстояниях. Для макромолекулярной цепи, в которой действует притяжение, предельным случаем является плотная глобула, и расстояние между концами цепи равно
Для незаряженных полимеров можно изменять величину Rtt путем замены растворителя. Хороший растворитель соответствует эффективному отталкиванию между мономерными звеньями. Плохой растворитель вызывает сжатие макромолекулы из-за эффективных взаимодействий притяжения. На величину Rtt полиэлектролитов можно влиять различными способами. Например, увеличение концентрации полимера в растворе увеличивает экранирование взаимодействий и приводит к уменьшению Rtt. То же самое наблюдается и при введении в раствор соли. Другой способ - варьирование рН, что приводит либо к нейтрализации зарядов, либо к ионизации функциональных групп мономеров. Расстояние между концами цепи в этом случае увеличивается пропорционально степени ионизации б. Для слабо заряженного полиэлектролита даже в присутствии соли расстояние между концами цепи зависит от б следующим образом:
4. Простейшая скейлинговая теория
В этом разделе выведены некоторые приведенные выше соотношения для расстояния между концами полиэлектролитных цепей. Это можно сделать простым способом, рассматривая, как различные вклады в свободную энергию зависят от конфигурации цепи. Такой подход имеет ряд ограничений, но позволяет оценить некоторые важные физические свойства. Построим полиэлектролитную цепь как набор зарядов, связанных жесткими связями.
При расчете энергии электростатического взаимодействия будем считать, что заряды расположены на прямой линии длиной R = га, где а - средняя длина связи мономер-мономер. Далее суммируя все парные взаимодействия в цепи, состоящей из г мономеров, получим выражение для энергии электростатического взаимодействия:
где /в) известно как бьеррумовская длина, а пренебрежимо малый постоянный член опущен. Энтропия вытягивания цепи принимается равной энтропии идеальной цепи:
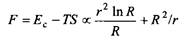
Опуская тривиальные константы, запишем выражение свободной энергии для всей цепи:
Оптимизируя уравнение, полагая R = Ree и пренебрегая вариацией логарифмического члена, найдем оптимальную свободную энергию из условия
Рис. Схематическая модель полиэлектролита
Рис. Степень ионизации б
Зависимость усредненного расстояния между концами полимерной цепи Ree от степени ионизации б по данным моделирования методом Монте-Карло. Ree нормировано на величину а, г = 320 откуда находим, что Rqq изменяется по закону
Найденное выражение справедливо для полиэлектролитной цепи при бесконечном разбавлении и в отсутствие солей.
Уравнение справедливо и для слабых полиэлектролитов. Полиэлектролит в этом случае состоит из титруемой цепи, заряд которой изменяется с рН. Считая, что каждое мономерное звено несет локальный заряд, равный степени диссоциации а, энергию электростатического взаимодействия можно записать в виде
Используя ту же процедуру, найдем, что расстояние между концами полиэлектролитной цепи зависит от б в степени 2/3:
5. Простейшая скейлинговая теория для систем в присутствии солей
В реальных системах всегда присутствуют соли, которые влияют на электростатические взаимодействия, так как экранируют заряженные мономерные звенья. Взаимодействие экранируется и другими цепями, и противоионами, снижающими радиус действия электростатического взаимодействия. В первом приближении для описания взаимодействия между двумя мономерами на расстоянии г друг от друга можно использовать выражение Дебая-Хюккеля:
Другие рефераты на тему «Химия»:
- Изучение условий образования ароматических полиимидов и сополибензоксазолимидов на основе 3,3'-диокси-4,4-диаминодифенилметана
- Разработка методов биотехнологического получения белков, аминокислот и нуклеозидов, меченных дейтерием и изотопом углерода 13С с высокими степенями изотопного обогащения
- Модифицированные эпоксидные композиции пониженной горючести
- Кислотно-основное, комплексно-метрическое и осадительное титрование
- Модификация вторичных полимеров для изготовления изделий различного функционального назначения
