Внутренние силы и напряжения, возникающие в поперечных сечениях бруса при растяжении и сжатии
Перемещение и в сечении г равно удлинению верхнего участка стержня.По формуле (1
.5). Таким образом, закон изменения и изображается квадратичной функцией
Наибольшее перемещение
имеет нижнее торцевое сечение
Пример1.3. Колонна (рис.23) нагружена силой Р ![]()
Такими силами собственного веса. Требуется подобрать такой закон изменения площади поперечного сечения
чтобы напряжения во всех сечениях были одинаковы и равны
Построить эпюры нормальных сил, напряжений и перемещений.
На расстоянии г от торца нормальная сжимающая сила N равна
По условию задачи
откуда
Дифференцируя обе часта этого равенства по г, получим
Или
После интегрирования находим
или
При
следовательно,
и тогда искомый закон изменения
площади Г принимает вид
Построение эпюр удобнее всего начинать с эпюры напряжения а, которое вдоль оси колонны по условию не меняется (рис. 23). Поскольку напряжение постоянно, то постоянным будет и относительное удлинение е. Поэтому перемещение и возрастает пропорционально расстоянию от основания колонны.
Нормальная сила в сечении
равна
Эпюра Л показана на рис. 2.3.
Рассмотренная задача относится к числу часто встречающихся в сопротивлении материалов задач на отыскание условий равнопрочное™. Если напряжение в некотором теле (в данном случае в колонне) будет постоянно для всех точек объёма, такую конструкцию называют равнопрочной. В подобных конструкциях материал используется наиболее эффективно.
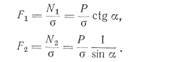
Пример 1.4. Кронштейн АВС нагружен на конце силой Р (рис. 24). Требуется подобрать поперечное сечение стержней А В и ВС с таким расчетом, чтобы возникающие в них напряжения имели одинаковую заданную величину а. При этом угол
должен быть выбран из условия минимального веса конструкции при заданном вылете кронштейна
Из условий равновесия узла В (рис. 24) находим нормальные силы в стержнях:
Далее определяем площади поперечного сечения стержней по величине заданного напряжения о:
Вес конструкции кронштейна пропорционален объему
Подставляя длины и площади стержней, находим
Величина V имеет минимум при
Использованная литература
1. Феодосьев В. И. Сопротивление материалов. – 8-е изд., стереотип – М.:
Наука. Главная редакция физико –математической литературы, 1979. – 560 с.
Другие рефераты на тему «Физика и энергетика»:
- Внутренние силы и напряжения, возникающие в поперечных сечениях бруса при растяжении и сжатии
- Усилитель с обратной связью
- Потери электроэнергии в распределительных электрических сетях
- Эскизный тепловой и электрический расчет камерной электропечи периодического действия
- Линейные и нелинейные электрические цепи постоянного тока
Поиск рефератов
Последние рефераты раздела
- Автоматизированные поверочные установки для расходомеров и счетчиков жидкостей
- Энергосберегающая технология применения уранина в котельных
- Проливная установка заводской метрологической лаборатории
- Источники радиации
- Исследование особенностей граничного трения ротационным вискозиметром
- Исследование вольт-фарадных характеристик многослойных структур на кремниевой подложке
- Емкость резкого p-n перехода
