Коды Боуза-Чоудхури-Хоквингема
Составим полином локаторов ошибок:
Корнями этого полинома являются элементы, обратные локаторам ошибок. Помножим обе части этого полинома на
. Полученное равенство будет справедливо для
:
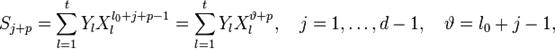
Положим
и подставим в (3). Получится равенство, справедливое для каждого
и при всех
:
Таким образом для каждого l можно записать свое равенство. Если их просуммировать по l, то получиться равенство, справедливое для каждого
:
.
Учитывая (2) и то, что
(то есть
меняется в тех же пределах, что и ранее) получаем систему линейных уравнений:
.
Или в матричной форме
,
Где
Если число ошибок и в самом деле равно t, то система (4) разрешима, и можно найти значения коэффициентов
. Если же число u < t, то определитель матрицы S(t) системы (4) будет равен 0. Это есть признак того, что количество ошибок меньше t. Поэтому необходимо составить систему (4), предполагая число ошибок равным t − 1. Высчитать определитель новой матрицы S(t − 1) и т. д., до тех пор, пока не установим истинное число ошибок.
После этого можно решить систему (4) и получить коэффициенты полинома локаторов ошибок. Его корни (элементы, обратные локаторам ошибок) можно найти простым перебором по всем элементам поля GF(qm). К ним найти элементы, обратные по умножению, — это локаторы ошибок
. По локаторам можно найти позиции ошибок (ik = logβXk), а значения Yk ошибок из системы (2), приняв t = u. Декодирование завершено.
Коды Рида–Соломона
Широко используемым подмножеством кодов БЧХ являются коды Рида-Соломона, которые позволяют исправлять пакеты ошибок. Пакет ошибок длины b представляет собой последовательность из таких b ошибочных символов, что первый и последний из них отличны от нуля. Существуют классы кодов Рида-Соломона, позволяющие исправлять многократные пакеты ошибок.
Коды Рида-Соломона широко используются в устройствах цифровой записи звука, в том числе на компакт-диски. Данные, состоящие из отсчетов объединяются в кадр, представляющий кодовое слово. Кадры разбиваются на блоки по 8 бит. Часть блоков являются контрольными.
Обычно 1 кадр (кодовое слово) = 32 символа данных +24 сигнальных символа +8 контрольных бит = 256 бит.
Сигнальные символы это вспомогательные данные, облегчающие декодирование: служебные сигналы, сигналы синхронизации и т. д.
При передаче данных производится перемежение (изменение порядка следования по длине носителя и во времени) блоков с различным сдвигом во времени, в результате чего расчленяются сдвоенные ошибки, что облегчает их локализацию и коррекцию. При этом используются коды Рида-Соломона с минимальным кодовым расстоянием d0 = 5.
Сверточные коды
Кроме рассмотренных корректирующих кодов используются так называемые сверточные коды, контрольные биты, в которых формируются непрерывно из информационных и контрольных бит смежных блоков.
Выводы
Таким образом, в результате написания реферата, пришли к выводу, что коды Боуза-Чоудхури-Хоквингхема – это широкий класс циклических кодов, способных исправлять многократные ошибки.
Другие рефераты на тему «Программирование, компьютеры и кибернетика»:
Поиск рефератов
Последние рефераты раздела
- Основные этапы объектно-ориентированного проектирования
- Основные структуры языка Java
- Основные принципы разработки графического пользовательского интерфейса
- Основы дискретной математики
- Программное обеспечение системы принятия решений адаптивного робота
- Программное обеспечение
- Проблемы сохранности информации в процессе предпринимательской деятельности
