Основные методы умягчения воды
Рис. 5. Установка нзвестково-содового умягчения воды.1,8 - подача исходной и отвод умягченной воды; 2 - эжектор; 3 - бункер с контактной массой; 5 ввод реагентов; 6 - осветлитель со слоем взвешенного осадка; 7 - осветлительный скорый фильтр; 4 - вихревой реактор
Рис. 6. Схема установки электрохимического умягчения воды I - выпрямитель ВАКГ-3200-18; 2 - диафрагменный электролизер; 3, 4 - аналит и каталит; 5 - насос; 6 - рН-метр; 7 - осветлитель со слоем взвешенного осадка; 8 - осветлительный скорый фильтр; 9 - сброс в канализацию; 10, 11 - отвод умягченной и подача исходной воды; 12 - расходомер; 13 - вытяжной зонт
Установлено, что из воды с Жо= 14,5-16,7 мг-экв/л получают анолит с жесткостью 1,1 - 1,5 мг-экв/л при рН = 2,5-3 и католит с жесткостью 0,6-1 мг-экв/л при рН=10,5-11. После смешения отфильтрованных анолита и католита показатели умягченной воды были следующими: общая жесткость Жо составляла 0,8-1,2 мг-экв/л, рН = 8-8,5. Затраты электроэнергии составили 3,8 кВт*ч/м3.
Химическим, рентгеноструктурным, ИК-спектроскопическим и спектральным анализами установлено, что в осадке преимущественно содержатся CaC03, Mg (OH) 2 и частично Fe203*Н20. Это свидетельствует о том, что связывание ионов Mg (II) происходит за счет гидроксил-ионов при разряде молекул воды на катоде.
Электрохимическая обработка воды перед подачей на катионитовые фильтры позволяет значительно (в 15-20 раз) увеличить их рабочий цикл.
Термохимический метод умягчения воды
Термохимическое умягчение применяют исключительно при подготовке воды для паровых котлов, так как в этом случае наиболее рационально используется теплота, затраченная на подогрев воды. Этим методом умягчение воды производят обычно' при температуре воды выше 100°С. Более интенсивному умягчению воды при ее подогреве способствует образование тяжелых и крупных хлопьев осадка, быстрейшее его осаждение вследствие снижения вязкости воды при нагревании, сокращается также расход извести, так как свободный оксид углерода (IV) удаляется при подогреве до введения реагентов. Термохимический метод применяют с добавлением коагулянта и без него, поскольку большая плотность осадка исключает необходимость в его утяжелении при осаждении. Помимо коагулянта используют известь и соду с добавкой фосфатов и реже гидроксид натрия и соду. Применение гидроксида натрия вместо извести несколько упрощает технологию приготовления и дозирования реагента, однако экономически такая замена не оправдана в связи с его высокой стоимостью.
Для обеспечения удаления некарбонатной жесткости воды соду добавляют с избытком. На рис. 7 показано влияние избытка соды на остаточную кальциевую и общую жесткость воды при ее термохимическом умягчении. Как видно из графиков, при избытке соды 0,8 мг-экв/л кальциевая жесткость может быть снижена до 0,2, а общая - до 0,23 мг/экв-л. При дальнейшем Добавлении соды жесткость еще более понижается. Остаточное содержание магния в воде может быть снижено до 0,05.0,1 мг-экв/л при избытке извести (гидратной щелочности) 0,1 мг-экв/л. На рис. 20.8 показана установка термохимического умягчения воды.
Известково-доломитовый метод используют для одновременного умягчения и обескремнивания воды при температуре 120° С. Этим методом умягчения щелочность воды, обработанной известью или известью и содой (без избытка), может быть снижена до 0,3 мг-экв/л при остаточной концентрации кальция 1,5 мг-экв/л и до 0,5 мг-экв/л при остаточной концентрации кальция 0,4 мг-экв/л. Исходная вода обрабатывается известково-доломитовым молоком и осветляется в напорном осветлителе. Затем она проходит через напорные антрацитовые и Na-катионитовые фильтры первой и второй ступеней.
В осветлителях высоту зоны осветления принимают равной 1,5 м, скорость восходящего потока при известковании - не более 2 мм/с. Время пребывания воды в осветлителе от 0,75 до 1,5 ч в зависимости от вида удаляемого загрязнения. Коагулянт соли железа (III) рекомендуется добавлять в количестве 0,4 мг-экв/л.
Рис. 7. Влияние избытка соды на остаточную кальциевую (а) и общую (б) жесткость воды при ее термохимическом умягчении
Рис. 8. Установка известково-содового умягчения воды с фосфатным доумягчением: 1 - сброс шлама из накопителя 2,3 - сборник умягченной воды; 4 - ввод извести и соды; 5, 11 - подача исходной и отвод умягченной воды; 6 - ввод пара; 7, 8 - термореактор первой и второй ступени; 9 - ввод тринатрийфосфата; 10 - осветлительный скорый фильтр
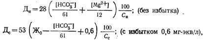
Метод высокотемпературного умягчения воды применяют практически для полного ее умягчения. Установки термохимического умягчения воды обычно более компактны. Они состоят из дозаторов реагентов, подогревателей тонкослойных отстойников или осветлителей и фильтров. Дозы извести Ди и соды Дс, мг/л, при термохимическом умягчении воды
где Си и Сс - соответственно содержание СаО и Na2C03 в техническом продукте, %.
Умягчение воды диализом
Диализ - метод разделения растворенных веществ, значительно отличающихся молекулярными массами. Он основан на разных скоростях диффузии этих веществ через полупроницаемую мембрану, разделяющую концентрированный и разбавленный растворы. Под действием градиента концентрации (по закону действующих масс) растворенные вещества с различными скоростями диффундируют через мембрану в сторону разбавленного раствора. Растворитель (вода) диффундирует в обратном направлении, снижая скорость переноса растворенных веществ. Диализ осуществляют в мембранных аппаратах с нитро - и ацетатцеллюлозными пленочными мембранами. Эффективность полупроницаемой мембраны для умягчения воды определяется высокими значениями селективности и водопроницаемости, которые она должна сохранять в течение продолжительного времени работы. Селективность мембраны можно выразить следующим образом:
(Жи - Жу) /Жи (20.11)
где Жв - концентрация исходного раствора (жесткость); Жи - жесткость умягченной воды.
На практике часто используют коэффициент снижения соле - содержания Си/Собр. Он наиболее полно отражает изменения в работе мембраны, связанные с ее изготовлением или с воздействием внешних факторов.
Существует несколько гипотетических моделей действия полупроницаемых мембран.
Гипотеза гиперфильтрации предполагает существование в полупроницаемой мембране пор, пропускающих при диализе ас - социанты молекул воды и гидратированные ионы солей. Основой теоретических разработок явилось положение о том, что через полупроницаемую мембрану вода и растворенные в ней соли проникают с помощью диффузии и потоков через поры.
Сорбционная модель проницаемости основана на предпосылке, согласно которой на поверхности мембраны и в ее порах адсорбируется слой связанной воды, обладающей пониженной растворяющей способностью. Мембраны будут полупроницаемы, если они, хотя бы в поверхностном слое имеют поры, не превышающие по размеру удвоенной толщины слоя связанной жидкости.
Другие рефераты на тему «Химия»:
- Краткая история развития катализа и теорий, объясняющих это явление
- Электродные процессы в разбавленных хромсодержащих растворах и пути повышения эффективности электрохимической очистки
- Физико-химические закономерности формирования тонкопленочных металлополимерных систем из газовой фазы
- Получение хлора методом электролиза повареной соли
- Взаимодействия в коллоидных системах
