Геодезические работы
Чтобы определить с помощью нивелира фактическую отметку дна котлована, устанавливают нивелирную рейку сначала на репер с известной отметкой Нр и берут по рейке отсчета. Затем рейку переносят на дно котлована и берут отсчет в. Превышение между репером и точкой дна котлована будет h = а - в. Прибавляя превышение со своим знаком к отметке репера, получают отметку дна котлована в данной точке:
Нк =Hp±h. (1)
Контролировать достижение проектной отметки дна котлова на Нкпр можно по значению предварительно вычисленного отсчета в на рейке:
в = Нр+а-Нкпр. (2)
Выемку грунта в котлованах и траншеях заканчивают с недобором на 10-20 см до проектной отметки, после чего делают зачистку дна котлована вручную по результатам нивелирования его по квадратам. Вершины квадратов закрепляют кольями, верхние срезы которых (маяки) располагают на уровне проектной отметки, и по ним ведут зачистку. После зачистки откосов котлована при помощи угольников с отвесами или направляющих проводят исполнительную съемку котлована. Отклонения от проектных размеров по ширине и длине котлована не должны превышать 30 см. Отклонение отметок дна котлована под фундаменты от проектных допускаются не более чем ± 5 см при условии, что эти отклонения не будут превышать толщины отсыпного подстилающего слоя. Допустимые средние квадратические ошибки измерения при устройстве котлованов: линейные - 1/1000; угловые - 45" и высотные - 10 мм. Окончание устройства котлована подтверждается исполнительной геодезической документацией: актом готовности котлована, схемой планово-высотной съемки котлована, картограммой подсчета объемов земляных масс.
Перенесение осей в котлован выполняют при помощи теодолита со. створных точек (рис.1), закрепляющих оси, или отвесами от точек пересечения осей, фиксируемых проволоками, натянутыми по обноске (рис.2).
Рис.1. Схема перенесения осей фундамента в котлован с помощью теодолита 1 - теодолит; 2 - створный знак; 3 - обноска; 4 - рулетка; 5 - осевая проволока; б - осевая риска; 7 - подвижная марка
Рис.2. Схема перенесения разбивочных осей в котлован отвесами: 1 - обноска; 2 - риски осей; 3 - осевая проволока; 4 - маячные блоки; 5 - причалка; 6 - отвес
В котловане оси закрепляют временными знаками на дне или на откосах. Передачу высот в котлован производят нивелиром непосредственно на дно или по откосам. В глубокие котлованы отметки передают с помощью подвешенной рулетки и двух нивелиров (рис.3).
Рис.3. Схема перенесения проектной отметки на дно глубокого котлована
Из рис.3 видно, что отметка дна котлована
Нк = Нрп + а - L - в,
где Нрп - отметка репера; L — длина ленты между линиями визирования нивелиров:
L =m-n
Определение объема грунта при разработке котлована.
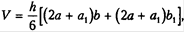
Определение объема грунта при разработке котлована необходимо для оперативного контроля фактически выполненного объема земляных работ. Объём грунта зависит от размеров котлована в плане, его глубины, заложения откосов и конструкции. Для котлованов с различным заложением откосов (крутизной откосов) (рис.4,а) можно пользоваться формулой для подсчета объёма обелиска:
где V - объём котлована; h - глубина котлована; а - длинная сторона котлована внизу; а1 - длинная сторона котлована наверху; b - короткая сторона котлована внизу; b1 - короткая сторона котлована наверху.
Рис.4. Схема котлована: а - с различным заложением откосов; б - сложной конфигурации
Для котлованов с одинаковыми заложениями откосов применяют формулу для определения объемов грунта, при использовании которой нет необходимости измерять верхние размеры котлована в плане:
где hab - объем котлована без учета откосов; h(a+b) - объем котлована над откосами без учета углов; с - горизонтальная проекция откосов; 4h/3*c2- объем котлована над откосами в углах. Для удобства подсчета эту формулу можно привести к следующему виду:
Для котлованов сложной конфигурации (рис.26,6) и с одинаковыми заложениями откосов используют формулу
где S - площадь нижнего основания котлована; Р - периметр нижнего основания котлована:
Р = (а + b + d + е + g+ .).
Для небольших котлованов с откосами при площади их внизу до 100 м2 и глубине до 4 м (с целью упрощения подсчета) объем грунта определяется как произведение площади в среднем сечении котлована и его глубины:
V = Scph. (42)
Для котлованов с вертикальными стенками и креплениями объем грунта определяют по формуле
V = Sh. (43)
Оперативный контроль объема земляных работ по данной методике позволяет снизить трудоемкость этого процесса.
2. Практическое задание
2.1 Как определяют крен здания с помощью измерения горизонтальных углов?
Крен зданий и сооружений измеряют несколькими способами: вертикального проецирования с использованием отвеса, теодолита или прибора оптического вертикального визирования; горизонтальных углов, угловых засечек. Общая схема измерения крена (отклонения) способом вертикального проецирования состоит в перенесении по отвесной линии верхней точки В здания (рис.1,а) на исходную горизонтальную плоскость. Отклонение точки В' от исходной точки А здания характеризует линейную l и угловую а величины крена. Самым простым способом проецирования является использование тяжёлого отвеса. Его закрепляют в точке В, а отклонения нити отвеса от исходной точки А здания измеряют миллиметровой линейкой в двух взаимно перпендикулярных плоскостях здания и вычисляют общую линейную величину крена по формуле:
(1)
Относительную величину крена вычисляют по формуле:
где h - высота здания, м.
Угловую величину крена а, которая определяет его направление, вычисляют по формуле:
В связи с неудобствами, связанными с закреплением отвеса в верхних точках, а также влиянием действия ветра на величину отклонения нити отвеса от вертикали, его используют при высоте зданий и сооружений до 15 м. При большей высоте, а также для повышения точности измерения крена вертикальное проецирование верхних точек выполняют с помощью теодолита. Его устанавливают над постоянным знаком на продолжении стены здания примерно на расстоянии двойной его высоты. Выбирают в верхней части стены хорошо различаемую точку В (рис.1,б), наводят на неё зрительную трубу, которую затем опускают вниз. По вертикальной нити зрительной трубы на миллиметровой линейке берут отсчет, измеряя тем самым отклонение точки В' от исходной точки А на величину ∆Y. Аналогично измеряют отклонение ∆Х в другой вертикальной плоскости и вычисляют общую линейную l и угловую α величины крена по формулам.
Другие рефераты на тему «Геология, гидрология и геодезия»:
Поиск рефератов
Последние рефераты раздела
- Анализ условий формирования и расчет основных статистических характеристик стока реки Кегеты
- Геодезический чертеж. Теодолит
- Геодезические методы анализа высотных и плановых деформаций инженерных сооружений
- Асбест
- Балтийско-Польский артезианский бассейн
- Безамбарное бурение
- Бурение нефтяных и газовых скважин
