Обезжелезивание природных вод
Хлор вводится в водяную подушку через специальную распределительную трубчатую систему; при этом требуется обеспечить необходимое время контакта окислителя с обрабатываемой водой. В качестве фильтровального аппарата рекомендуются контактные фильтры КФ-5 с повышенной грязеемкостью. В контактном фильтре КФ-5 фильтрующая загрузка состоит из трех слоев толщиной по 0,6 м: верхний слой — керамзит или
полимеры с крупностью зерен 2,3 .3,3 мм, средний слой — антрацит или доменный шлак с крупностью зерен 1,25 .2,3 мм, нижний слой — кварцевый песок или горелые породы с зернами крупностью 0,8 .1,25 мм. Скорость фильтрования 7 м/ч, промывка водяная.
Обезжелезивание методом напорной флотации основано на действии молекулярных сил, способствующих слипанию отдельных частиц гидроксида железа с пузырьками тонкодиспергированного в воде воздуха и всплывании образующихся при этом агрегатов на поверхность воды. Метод флотационного выделения дисперсных и коллоидных примесей природных вод весьма перспективен вследствие резкого сокращения продолжительности процесса (в 3 .4 раза) по сравнению с осаждением или обработкой в слое взвешенного осадка.
Процесс напорно-флотационного разделения хлопьев гидроксида железа можно подразделить на следующие стадии: окисление закисного железа в окисное, растворение воздуха в воде и образование пузырьков; образование комплексов «пузырек воздуха — хлопья гидроксида железаподъем этих комплексов на поверхность воды. Каждая стадия оказывает существенное влияние на эффективность и экономичность процесса.
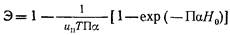
На эффективность процесса всплывания хлопьев при флотационном разделении оказывают влияние концентрация взвешенных веществ (исходная концентрация железа, доза извести), .количество и размер пузырьков, продолжительность флотации, а также гидродинамические условия. Эффект флотации можно определить по формуле
(17.8)
где uп — скорость подъема пузырьков; Т — продолжительность пребывания воды во флотаторе; П — количество пузырьков воздуха в единице объема воды; Н0 — высота слоя воды во флотаторе; а —коэффициент вероятности закрепления пузырьков на хлопке гидроксида железа при подъеме его на 1 см.
При увеличении продолжительности флотации, давления в напорном баке, дозы извести, а также исходного содержания железа, эффект обезжелезивания повышается, а при увеличении количества дисперсионной воды — понижается. Другие факторы, как показывают уравнения регрессии, существенного влияния не оказывают.
где Т — продолжительность пребывания воды во флотаторе, мин; (/ — количество воды, подвергаемое насыщению воздухом, л; Ди —доза извести, мг/'л; р — давление насыщения, МПа; Fe„ — исходная концентрация железа, мг/л; Э — эффект обезжелезивания; Оk — окисляемость.
Снижение окисляемости зависит в основном от количества воды, подвергаемой насыщению воздухом, дозы извести и давления насыщения.
Удаление высококонцентрированных устойчивых форм железа из воды аэрацией, известкованием, отстаиванием в тонком слое и фильтрованием достигается после полного окисления Железа (II) и деструкции комплексных железоорганических соединений при pH≥7,l. Процесс выделения соединений железа в тонкослойном отстойнике носит циклический характер и при этом эффект обезжелезивания воды зависит главным образом от скорости потока в тонкослойных модулях, исходной концентрации железа и дозы щелочного реагента. Для агломерации хлопьев гидроксида железа, седиментирующихся в отстойнике, объем камеры хлопьеобразования вихревого типа, совмещенной с отстойником, должен обеспечивать продолжительность пребывания обрабатываемой воды не менее 15 мин.
Достигаемый в тонкослойных модулях эффект деферизации воды Э, %', зависит от скорости движения потока — v, дозы щелочного реагента — Ди, содержания железа в обрабатываемой воде — FeH и описывается уравнением
Э = 32,23 + 0,33υ — 0,224υ2 + 1,28ДИ—0,007Д2 + 0,37FeH. (17.11)
Скорость движения воды в тонкослойных модулях по Г.И. Николадзе
где l — длина ячейки отстойника, м; υкр — критическая скорость потока в отстойнике, м/ч; А0 — параметр, характеризующий величину концентрации отложений, выпавших в отстойнике, г/л; F — функциональный параметр, зависящий в основном от продолжительности уплотнения осадка и цикла отстаивания, ч; К — содержание нерастворимой взвеси в составе щелочного реагента, мг/л; Fe0 — содержание железа в отстоенной воде.
Содержание железа, мг/л, в отстоенной воде можно найти из выражения
Fe0=FeH (1 — 0,01Э).(17.13)
обезжелезивание вода флотация
Для удаления сульфата железа (II) применяют известкование, при этом известь реагирует вначале с сульфатом железа (II):
FeS04 + Са (ОН)2 = CaS04 + Fe (ОН)2.
Образующийся гидроксид железа (II) окисляется в Fe(OH)3, при этом, если количество кислорода, содержащегося в воде, недостаточно для окисления, одновременно с известкованием проводят хлорирование или аэрирование воды.
Доза извести (при Ре2+/28>ЩИ), мг/л
где [СО2] — содержание в воде свободного оксида углерода (IV), мг/л; [Fe2+] — содержание в воде железа (II), мг/л; в\ — эквивалентная .масса безводного вещества коагулянта, мг/мг-экв; Щл — щелочность исходной воды, мг-экв/л.
Дозу хлора или хлорной извести определяет по формуле Дхл=0,7[Ре2+], мг/л, а дозу перманганата калия по формуле Дп.м =[Fe2+], мг/л.
В некоторых случаях для быстрого окисления железа(II), даже при низких значениях рН, применяют катализаторы. В качестве таких катализаторов обычно используют дробленый пиролюзит, «черный песок» (песок, покрытый пленкой оксидов марганца, которые образуются в результате разложения 1 %-ного раствора перманганата калия, подщелаченного до рН=8,5 .9 водным раствором аммиака) и сульфоуголь, покрытый пленкой оксидов марганца. Для получения последнего сульфоуголь обрабатывают 10%-ным раствором МпС12, а затем через слой образовавшегося Mn-катионита фильтруют 1%-ный раствор КМnО4. Калий вытесняет марганец, который окисляется и осаждается на поверхности угля в виде пленки оксидов марганца. В этих случаях для окисления железа (II) вода должна фильтроваться со скоростью 10 м/ч через слой катализатора толщиной 1 м.
Процесс окисления железа (II) высшими оксидами марганца, которые при этом восстанавливаются до низших ступеней окисления, а затем вновь окисляются растворенным в воде кислородом, описывается уравнениями:
4Fe (HC03)2+3Mn02 + 2Н20 -> 4Fe (ОН)3 + MnO + Mn203 + 8С02 , ЗМnО + 2KMn04 + Н20 -> 5Mn02 + 2КОН,
ЗМn203 + 2КМn04 + Н20 -> 8Мn02 + 2КОН.
Обезжелезивание воды катионированием допускается применять при необходимости одновременного удаления солей железа и солей, обусловливающих жесткость, и когда в обрабатываемой воде отсутствует кислород.
Другие рефераты на тему «Производство и технологии»:
- Планетарные и волновые зубчатые передачи
- Разработка требований к автоматизации процесса испытаний стали арматурной
- Контроль температуры пара на входе в регенеративные подогреватели
- Котельные установки промышленных предприятий
- Анализ САР регулирования частоты вращения приводного электродвигателя стенда для обкатки ДВС
Поиск рефератов
Последние рефераты раздела
- Технологическая революция в современном мире и социальные последствия
- Поверочная установка. Проблемы при разработке и эксплуатации
- Пружинные стали
- Процесс создания IDEFO-модели
- Получение биметаллических заготовок центробежным способом
- Получение и исследование биоактивных композиций на основе полиэтилена высокой плотности и крахмала
- Получение титана из руды
